Distancia que separa a dos cargas, conocidos sus valores y la fuerza de repulsión (7135)

, por F_y_Q

Calcula la distancia que separa a dos cargas de valores 8 mC y 2.5\cdot 10^{-4}\ C si sienten una fuerza de repulsión de 10^{10}\ N.

P.-S.

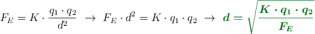
A partir de la ley de Coulomb debes despejar el valor de la distancia para poder hacer el cálculo:

F_E = K\cdot \frac{q_1\cdot q_2}{d^2}\ \to\ F_E\cdot d^2 = K\cdot q_1\cdot q_2\ \to\ \color[RGB]{2,112,20}{\bm{d = \sqrt{\frac{K\cdot q_1\cdot q_2}{F_E}}}}

Ten cuidado con expresar las cargas en culombio en ambos casos:

d = \sqrt{\frac{9\cdot 10^9\ \frac{\cancel{N}\cdot m^2}{\cancel{C^2}}\cdot 8\cdot 10^{-3}\ \cancel{C}\cdot 2.5\cdot 10^{-4}\ \cancel{C}}{10^{10}\ \cancel{N}}} = \fbox{\color[RGB]{192,0,0}{\bm{1.3\cdot 10^{-3}\ m}}}



Puedes descargar el enunciado y la resolución del problema en formato EDICO si lo necesitas.