Valor de una carga atraída por otra con un valor de fuerza conocido (7134)

, por F_y_Q

Calcula el valor de una carga que es atraída con una fuerza de 15 N por otra carga de 1.4\ \mu C cuando la distancia entre ellas es de 0.8 m.

P.-S.

A partir de la ley de Coulomb debes despejar el valor de la carga de la que quieres conocer el valor:

F_E = K\cdot \frac{q_1\cdot q_2}{d^2}\ \to\ \color[RGB]{2,112,20}{\bm{\frac{F_E\cdot d^2}{K\cdot q_1} = q_2}}

Solo tienes que sustituir y calcular el valor de la carga. Eso sí, ten mucho cuidado con expresar la carga conocida en culombio:

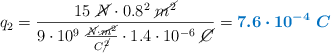
q_2 = \frac{15\ \cancel{N}\cdot 0.8^2\ \cancel{m^2}}{9\cdot 10^9\ \frac{\cancel{N}\cdot \cancel{m^2}}{C\cancel{^2}}\cdot 1.4\cdot 10^{-6}\ \cancel{C}} = \color[RGB]{0,112,192}{\bm{7.6\cdot 10^{-4}\ C}}

Aún te queda un detalle a tener en cuenta. El enunciado dice que la carga es atraída por la carga de valor conocido. Como es una carga positiva, la carga que acabas de calcular debe ser negativa por lo que será:

\fbox{\color[RGB]{192,0,0}{\bm{q_2 = -7.6\cdot 10^{-4}\ C}}}



Descarga el enunciado y la resolución del problema en formato EDICO si lo necesitas.