Análisis de dos ecuaciones de la energía potencial electrostática (1233)
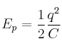
Decide si las siguientes expresiones de la energía almacenada por un conductor de capacidad «C» son correctas:
y 
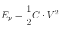
Decide si las siguientes expresiones de la energía almacenada por un conductor de capacidad «C» son correctas:
y 