UNED física cuántica 0001 5839
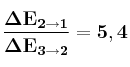
Siguiendo el modelo atómico de Bohr, calcula la relación de energías resultantes de pasar del nivel n = 2 al n = 1 frente al salto del nivel n = 3 al n = 2.
Datos:
;
; ![]()
Siguiendo el modelo atómico de Bohr, calcula la relación de energías resultantes de pasar del nivel n = 2 al n = 1 frente al salto del nivel n = 3 al n = 2.
Datos:
;
; ![]()