Relación entre longitud de onda, trabajo de extracción y energía cinética 0001

, por F_y_Q

El trabajo de extracción de cierto metal es de 2 eV. Si la energía cinética máxima de los fotoelectrones es de 1 eV, halla la longitud de onda de la radiación incidente.

Datos: h = 6,62\cdot 10^{-34}\ J\cdot s ; 1\ eV = 1,6\cdot 10^{-19}\ J

P.-S.

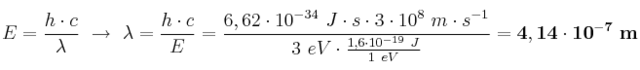
La energía de la radiación incidente ha de ser igual a la suma de la energía de extracción y la energía cinética de los electrones: E_i = W_{ext} + E_C = (2 + 1)\ eV = 3\ eV
Podemos expresa la energía en función de la longitud de onda y despejar:

E = \frac{h\cdot c}{\lambda}\ \to\ \lambda = \frac{h\cdot c}{E} = \frac{6,62\cdot 10^{-34}\ J\cdot s\cdot 3\cdot 10^8\ m\cdot s^{-1}}{3\ eV\cdot \frac{1,6\cdot 10^{-19}\ J}{1\ eV}} = \bf 4,14\cdot 10^{-7}\ m