Relación entre energía y frecuencia de un fotón 0001

, por F_y_Q

¿Cuál es la frecuencia de un fotón de energía 44 000 eV?

P.-S.

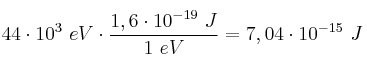
La energía, expresada en julios, es:

44\cdot 10^3\ eV\cdot \frac{1,6\cdot 10^{-19}\ J}{1\ eV} = 7,04\cdot 10^{-15}\ J


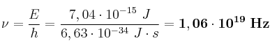
La energía del fotón es: E = h\cdot \nu
Si despejamos:

\nu = \frac{E}{h} = \frac{7,04\cdot 10^{-15}\ J}{6,63\cdot 10^{-34}\ J\cdot s} = \bf 1,06\cdot 10^{19}\ Hz