Relación entre energía y longitud de onda de una radiación (2181)

, por F_y_Q

La energía de un fotón de luz roja es 3.2\cdot 10^{-19}\ J. Determina la longitud de onda de la luz roja.

Datos: h = 6.63\cdot 10^{-34}\ J\cdot s ; c = 3\cdot 10^8\ m/s

P.-S.

La energía de un fotón es, según la ecuación de Planck:

E = h\cdot \nu

Puedes relacionar la frecuencia de una radiación con su longitud de onda por medio de la velocidad de propagación

v = \lambda \cdot \nu

Como la velocidad de propagación de la radiación es la velocidad de la luz, la primera ecuación queda reescrita como:

\color[RGB]{2,112,20}{\bm{E = \frac{h\cdot c}{\lambda}}}

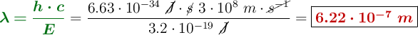
Basta con despejar la longitud de onda, sustituir y calcular:

{\color[RGB]{2,112,20}{\bm{\lambda = \frac{h\cdot c}{E}}}} = \frac{6.63\cdot 10^{-34}\ \cancel{J}\cdot \cancel{s}\ 3\cdot 10^8\ m\cdot \cancel{s^{-1}}}{3.2\cdot 10^{-19}\ \cancel{J}} = \fbox{\color[RGB]{192,0,0}{\bm{6.22\cdot 10^{-7}\ m}}}