Energía emitida por una luz 0001

, por F_y_Q

Determina la cantidad de energía que emite una bombilla, sabiendo que su longitud de onda es 6,6\cdot 10^{-3}\ m y que emite 10^{23} fotones en un cierto tiempo.

Datos: h = 6,62\cdot 10^{-34}\ J\cdot s ; c = 3\cdot 10^8\ m\cdot s^{-1}

P.-S.

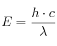
La energía de un fotón, en función de la longitud de onda, es: E = \frac{h\cdot c}{\lambda}. Sustituyendo:

E = \frac{6,62\cdot 10^{-34}\ J\cdot s\cdot 3\cdot 10^8\ m\cdot s^{-1}}{6,6\cdot 10^{-3}\ m} = 3\cdot 10^{23}\ J/fot


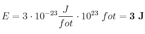
Si se han emitido los fotones indicados:

E = 3\cdot 10^{-23}\frac{J}{fot}\cdot 10^{23}\ fot = \bf 3\ J