Número de electrones ganados por un cuerpo (4487)

, por F_y_Q

¿Cuántos electrones gana un cuerpo que presenta una carga eléctrica neta negativa de 32 nC? Busca la información que necesites en Internet.

P.-S.

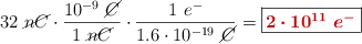
La carga de un electrón, en valor absoluto, es 1.6\cdot 10^{-19}\ C . Puedes hacer dos factores de conversión para lograr averiguar el número de electrones:

32\ \cancel{nC}\cdot \frac{10^{-9}\ \cancel{C}}{1\ \cancel{nC}}\cdot \frac{1\ e^-}{1.6\cdot 10^{-19}\ \cancel{C}} = \fbox{\color[RGB]{192,0,0}{\bm{2\cdot 10^{11}\ e^-}}}



Descarga el enunciado y la resolución del problema en formato EDICO si lo necesitas.