Intensidad asociada a la carga por unidad de tiempo (2440)

, por F_y_Q

Calcula la intensidad que circula por un circuito si en 5 horas, 30 minutos y 30 segundos han pasado 39 660 culombios.

P.-S.

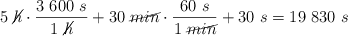
En primer lugar debes expresar el tiempo en segundos, por ser la unidad de Sistema Internacional para el tiempo:

5\ \cancel{h}\cdot \frac{3\ 600\ s}{1\ \cancel{h}} + 30\ \cancel{min}\cdot \frac{60\ s}{1\ \cancel{min}} + 30\ s = 19\ 830\ s

Ahora basta con que apliques la expresión que relaciona la intensidad de corriente con la carga que atraviesa un conductor en un tiempo determinado:

I = \frac{Q}{t}\ \to\ I = \frac{39\ 660\ C}{19\ 830\ s} = \fbox{\color[RGB]{192,0,0}{\bf 2\ A}}