Constante recuperadora de una cuerda con la que se hace puenting (1225)

, por F_y_Q

Una persona de 70 kg que practica el deporte extremo conocido como puenting, salta al vacío desde un puente. La cuerda elástica que tiene amarrada a sus tobillos mide 10 m sin estirar. Suponiendo que se cumple la ley de Hooke, determina la constante de recuperación de la cuerda si la persona cae una distancia total de 30 m.

P.-S.

Como la longitud incicial de la cuerda es 10 m y la persona cae hasta los 30 m, quiere decir que el estiramiento de la cuerda es:

\Delta L = (30 - 10)\ m = \color[RGB]{0,112,192}{\bf 20\ m}

La fuerza que actúa sobre la cuerda es el peso de la persona. Si aplicas la ley de Hooke y despejas el valor de la constante de recuperación:

F = k\cdot \Delta L\ \to\ \color[RGB]{2,112,20}{\bm{k = \frac{p}{\Delta L}}}

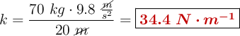
Ahora solo tienes que sustituir en la ecuación anterior, teniendo en cuenta que el peso es el producto de la masa por la aceleración de la gravedad:

k = \frac{70\ kg\cdot 9.8\ \frac{\cancel{m}}{s^2}}{20\ \cancel{m}} = \fbox{\color[RGB]{192,0,0}{\bm{34.4\ N\cdot m^{-1}}}}