Sistema de masas enlazadas sobre el que se aplica una fuerza (7665)

, por F_y_Q

El siguiente sistema, sin fricción, está constituido por tres masas iguales de valor 2 kg. La masa m _2 está sometida a una fuerza de 100 N que forma un ángulo de 30 ^o con la horizontal.

Calcula:

a) La tensión de la cuerda y la aceleración.

b) Las fuerzas de acción y reacción entre las masas m _1 y m _2.

c) Determina el trabajo hecho por la fuerza F en 5 s si el sistema parte del reposo.

P.-S.

Para que la fuerza F coincida con el sistema de referencia es bueno descomponerla en las componentes F _x y F _y:

\left F_x = F\cdot sen\ 30 = 100\ N\cdot 0.5\ \to\ {\color[RGB]{0,112,192}{\bm{F_x = 50\ N}}} \atop F_y = F\cdot cos\ 30 = 100\ N\cdot 0.866\ \to\ {\color[RGB]{0,112,192}{\bm{F_y = 86.6\ N}} \right \}

Es muy conveniente dibujar las fuerzas presentes en el sistema que vas a tener que considerar. Recuerda que no hay rozamiento. El esquema podría ser este y lo puedes ver con más detalle si clicas en la miniatura:


a) (Considero positivas las fuerzas que apuntan hacia la izquierda). Si aplicas la segunda ley de Newton:

F_x - \cancel{T^{\prime}} + \cancel{T} - p_3 = (m_2 + m_3)\cdot a\ \to\ \color[RGB]{2,112,20}{\bm{a = \frac{F_x - p_3}{2m}}}

La aceleración la obtienes al sustituir y calcular:

a = \frac{50\ N - 2\ kg\cdot 9.8\ \frac{m}{s^2}}{4\ kg} = \fbox{\color[RGB]{192,0,0}{\bm{7.6\ \frac{m}{s^2}}}}


La tensión de la cuerda la calculas aislando el cuerpo 3:

T - p_3 = m_3\cdot a\ \to\ T = m(a + g) = 2\ kg\cdot (7.6 + 9.8)\ \frac{m}{s^2} = \fbox{\color[RGB]{192,0,0}{\bf 34.8\ N}}


b) La fuerza de acción y reacción entre los cuerpos 1 y 2 serán de la misma intensidad y sentido contrario. El módulo de ambas es la fuerza neta que sufre el cuerpo 2, es decir:

F = F_x - T = (50 - 34.8)\ N\ \to\ \fbox{\color[RGB]{192,0,0}{\bf F = 15.2\ N}}


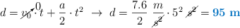
c) Lo primero que debes conocer es la distancia que recorre el sistema en los 5 s:

d = \cancelto{0}{v_0}\cdot t + \frac{a}{2}\cdot t^2\ \to\ d = \frac{7.6}{2}\ \frac{m}{\cancel{s^2}}\cdot 5^2\ \cancel{s^2} = \color[RGB]{0,112,192}{\bf 95\ m}

El trabajo es el producto de la fuerza por el desplazamiento que provoca:

W = F\cdot d\cdot \cancelto{1}{cos\ 0} = 50\ N\cdot 95\ m = \fbox{\color[RGB]{192,0,0}{\bf 4\ 750\ J}}