Fuerza de fricción sobre un bloque que cae por un plano inclinado (8332)

, por F_y_Q

Un bloque de 2 kg arranca del reposo en la parte superior de un plano inclinado 37\ ^o, y tarda 4 s en llegar al final del plano, recorriendo un total de 6 m. Calcula la fuerza de fricción que actúa sobre el bloque.

P.-S.

Si haces un esquema de la situación y dibujas las fuerzas presentes en él, obtienes:


En la dirección del movimiento solo tienes la componente «x» del peso y la fuerza de rozamiento como causantes del movimiento del descenso del bloque. La suma de ambas fuerzas tiene que ser igual al producto de la masa del bloque por la aceleración que experimenta.

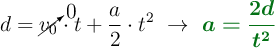
La aceleración del movimiento la obtienes si consideras la distancia que recorre y el tiempo que emplea en ello:

d = \cancelto{0}{v_0}\cdot t + \frac{a}{2}\cdot t^2\ \to\ \color[RGB]{2,112,20}{\bm{a = \frac{2d}{t^2}}}

Sustituyes los datos del enunciado y calculas:

a= \frac{2\cdot 6\ m}{4^2\ s^2} = \color[RGB]{0,112,192}{\bm{0.75\ m\cdot s^{-2}}}

Aplicas la segunda ley de Newton y despejas el valor de la fuerza de rozamiento. Ten en cuenta que se opone al movimiento, por eso la consideras negativa:

p_x - F_R = m\cdot a\ \to\ \color[RGB]{2,112,20}{\bm{F_R = p_x - m\cdot a}}

Si escribes la componente del peso en función de la masa y sustituyes:

F_R = m(g\cdot sen\ 37^o - a) = 2\ kg\cdot (9.8\cdot sen\ 37^o - 0.75)\ m\cdot s^{-2}\ \to\ \fbox{\color[RGB]{192,0,0} {\bm{F_R = 10.3\ N}}}