Cuerpo sobre un plano horizontal con rozamiento sobre el que se aplica una fuerza (7762)

, por F_y_Q

Sobre un cuerpo de 10 kg, en reposo en un plano horizontal, actúa una fuerza de 50 N. Se observa que en recorrer 50 m ha tardado 5 s. Determina:

a) El valor del coeficiente de rozamiento entre el cuerpo y el plano.

b) La velocidad del cuerpo al cabo de ese tiempo.

c) El trabajo realizado por la fuerza de rozamiento.

P.-S.

Lo primero que debes hacer es calcular la aceleración aplicada al cuerpo:

d = \cancelto{0}{v_0}\cdot t + \frac{1}{2}\cdot a\cdot t^2\ \to\ \color[RGB]{2,112,20}{\bm{a = \frac{2d}{t^2}}}

Conoces la distancia que recorre el cuerpo y el tiempo que tarda:

a = \frac{2\cdot 50\ m}{5^2\ s^2} = \color[RGB]{0,112,192}{\bm{4\ \frac{m}{s^2}}}

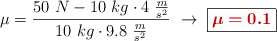
a) Si consideras que solo actúan sobre el cuerpo la fuerza aplicada y la fuerza de rozamiento, que siempre se opone al movimiento, se tiene que cumplir la ecuación:

F - F_R = m\cdot a\ \to\ F_R = F - m\cdot a\ \to\ \color[RGB]{2,112,20}{\bm{\mu = \frac{F - m\cdot a}{m\cdot g}}}

Sustituyes y calculas:

\mu = \frac{50\ N - 10\ kg\cdot 4\ \frac{m}{s^2}}{10\ kg\cdot 9.8\ \frac{m}{s^2}}\ \to\ \fbox{\color[RGB]{192,0,0}{\bm{\mu = 0.1}}}


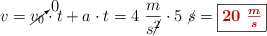
b) El cuerpo sigue un movimiento acelerado y su velocidad será:

v = \cancelto{0}{v_0}\cdot t + a\cdot t = 4\ \frac{m}{s\cancel{^2}}\cdot 5\ \cancel{s} = \fbox{\color[RGB]{192,0,0}{\bm{20\ \frac{m}{s}}}}


c) El trabajo de rozamiento es:

W_R = F_R\cdot d = \mu\cdot m\cdot g\cdot d = 0.1\cdot 10\ kg\cdot 9.8\ \frac{m}{s^2} = \fbox{\color[RGB]{192,0,0}{\bf 9.8\ N}}