Conservación de la energía en un choque de dos cuerpos en una semiesfera (7699)

, por F_y_Q

Un cuerpo de masa m_1 = 2\ kg cae desde el punto A, partiendo del reposo, por una semiesfera de radio R = 3 m. En el punto B tenemos un segundo cuerpo de masa m_2  = 3\ kg. Entre A y B no existe fricción. En el punto B se produce un choque de forma que ambos cuerpos quedan enganchados. Después ambos cuerpos se desplazan por el tramo BC con fricción hasta llegar a una altura h.

a) Calcula la energía degradada en el choque que se produce en B.

b) Calcula el valor de la fuerza normal aplicada sobre el nuevo cuerpo en el punto B, cuando tiene un movimiento circular, justo después del choque.

c) Calcula la altura máxima alcanzada en C si la energía degradada por fricción en el tramo BC vale una cuarta parte de la que tenía justamente después del choque.

P.-S.

a) Si no hay fricción en el tramo AB y se produce un choque perfectamente inelástico, debes suponer que la energía mecánica se conserva, por lo tanto, la energía que se degrada en el choque en B es nula.

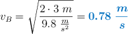
b) En primer lugar debes calcular la velocidad con la que el cuerpo que está en A llega a la posición B. Para ello aplicas la conservación de la energía:

E_M(A) = E_M(B)\ \to\ m_1\cdot g\cdot h_A = \frac{m_1}{2}\cdot v_B^2\ \to\ \color[RGB]{2,112,20}{\bm{v_B = \sqrt{\frac{2h_A}{g}}}}

La velocidad con la que choca el cuerpo 1 con el cuerpo 2 en B es:

v_B = \sqrt{\frac{2\cdot 3\ m}{9.8\ \frac{m}{s^2}}} = \color[RGB]{0,112,192}{\bm{0.78\ \frac{m}{s}}}

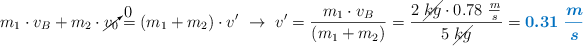
La velocidad con la que se mueve el conjunto de ambos cuerpos, después del choque, la obtienes al aplicar la conservación del momento lineal:

m_1\cdot v_B + m_2\cdot \cancelto{0}{v_0} = (m_1 + m_2)\cdot v^{\prime}\ \to\ v^{\prime} = \frac{m_1\cdot v_B}{(m_1 + m_2)} = \frac{2\ \cancel{kg}\cdot 0.78\ \frac{m}{s}}{5\ \cancel{kg}} = \color[RGB]{0,112,192}{\bm{0.31\ \frac{m}{s}}}

La fuerza normal debe ser igual a la fuerza centrípeta del cuerpo 2 una vez que inicia el movimiento:

F_N = F_{ct} = m_2\cdot \frac{v^{\prime}^2}{R} = \frac{3\ kg\cdot 0.31^2\ \frac{m\cancel{^2}}{s^2}}{3\ \cancel{m}} = \fbox{\color[RGB]{192,0,0}{\bf 0.10\ N}}


c) En este tramo sí que hay fricción pero conoces la energía que se degrada. Si aplicas la conservación de la energía tienes:

E_M{C} = E_M(B) - W_R = E_M(B) - \frac{E_M(B)}{4}\ \to\ \color[RGB]{2,112,20}{\bm{E_M(C) = \frac{3E_M(B)}{4}}}

La energía mecánica en B es:

E_M(B) = \frac{(m_1 + m_2)}{2}\cdot v^{\prime}^2 = \frac{5\ kg\cdot 0.31^2\ \frac{m^2}{s^2}}{2} = \color[RGB]{0,112,192}{\bf 0.24\ J}

Por último, despejas el valor de la altura en la expresión de la energía mecánica en C:

E_M(C) = (m_1 + m_2)\cdot g\cdot h_C\ \to\ \color[RGB]{2,112,20}{\bm{h_C = \frac{E_M(C)}{(m_1 + m_2)\cdot g}}}

Como sabes la relación de la energía mecánica en C con la de B, solo te queda sustituir y calcular:

h_C = \frac{0.18\ J}{5\ kg\cdot 9.8\ \frac{m}{s^2}} = \fbox{\color[RGB]{192,0,0}{\bm{3.7\cdot 10^{-3}\ m}}}


Esto quiere decir que el conjunto de los dos cuerpos asciende 3.7 mm.