Altura máxima que alcanza un péndulo y ángulo que forma con la vertical (7382)

, por F_y_Q

Del extremo de una cuerda de longitud 180 cm cuelga una esfera de masa 60 g, la cual oscila como un péndulo, como se muestra en la figura adjunta. Cuando la esfera pasa por el punto mas bajo de la trayectoria su rapidez es de 400 cm/s.

a) Determina la altura máxima que alcanza antes de detenerse.

b) En ese punto, ¿qué ángulo forma el péndulo con la vertical?

P.-S.

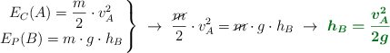
a) El péndulo alcanza su altura máxima cuando la velocidad de la esfera es nula. Basta con que tengas en cuenta que la energía mecánica del péndulo es constante, es decir, que la energía cinética en el punto más bajo (A) es igual a la energía potencial en el punto más alto (B):

\left E_C(A) = \dfrac{m}{2}\cdot v_A^2 \atop E_P(B) =  m\cdot g\cdot h_B \right \}\ \to\ \frac{\cancel{m}}{2}\cdot v_A^2 = \cancel{m}\cdot g\cdot h_B\ \to\ \color[RGB]{2,112,20}{\bm{h_B = \frac{v_A^2}{2g}}}

Sustituyes y calculas, pero teniendo en cuenta que las unidades deben ser SI:

h_B = \frac{4^2\ \frac{m\cancel{^2}}{\cancel{s^2}}}{2\cdot 9.8\ \frac{\cancel{m}}{\cancel{s^2}}} = \fbox{\color[RGB]{192,0,0}{\bf 0.82\ m}}


b) El ángulo que forma con la vertical lo puedes obtener a partir del coseno del ángulo \theta. Para ello, como ves en la figura, debes tener en cuenta la diferencia entre la longitud de la cuerda y la altura que acabas de calcular.

cos\ \theta = \frac{L - x}{L}\ \to\ \theta = arccos\ \frac{(1.8 - 0.82)\ \cancel{m}}{1.8\ \cancel{m}}\ \to\ \fbox{\color[RGB]{192,0,0}{\bm{\theta = 57^o}}}