Choque inelástico entre un proyectil y una barra que cuelga verticalmente (7745)

, por F_y_Q

Un proyectil de 2.00 kg de masa se mueve a la derecha con una rapidez de v_0 = 10.0\ \textstyle{m\over s}. El proyectil golpea y se queda pegado a una distancia de d=3.00 m del extremo de una varilla de M = 5.00 kg y 4.00 m de longitud que cuelga verticalmente en reposo y hace pivote alrededor de un eje sin fricción que pasa por su extremo superior. Determina:

a) La rapidez angular del sistema inmediatamente después de la colisión.

b) La energía cinética del sistema antes de la colisión.

c) La energía cinética del sistema después de la colisión.

d) La degradación de energía durante la colisión.

P.-S.

Se trata de un choque inelástico y puedes calcular la velocidad del sistema una vez que se produce la colisión si aplicas que se tiene que conservar la cantidad de movimiento del sistema:

m\cdot v_1 + M\cdot \cancelto{0}{v_2} = (m + M)\cdot v^{\prime}\ \to\ {\color[RGB]{2,112,20}{\bm{v^{\prime} = \frac{m\cdot v_1}{(m + M)}}}} = \frac{2\ \cancel{kg}\cdot 10\ \frac{m}{s}}{7\ \cancel{kg}} = \color[RGB]{0,112,192}{\bm{2.86\ \frac{m}{s}}}

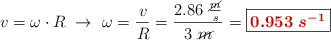
a) La rapidez angular la obtienes si consideras la distancia a la que se produce el impacto y la velocidad que has calculado:

v = \omega\cdot R\ \to\ \omega = \frac{v}{R} = \frac{2.86\ \frac{\cancel{m}}{s}}{3\ \cancel{m}} = \fbox{\color[RGB]{192,0,0}{\bm{0.953\ s^{-1}}}}


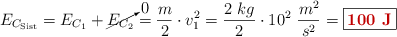
b) La energía cinética antes de la colisión será la suma de las energías cinéticas de ambos cuerpos:

E_{C_{\text{Sist}}} = E_{C_{1}} + \cancelto{0}{E_{C_{2}}} = \frac{m}{2}\cdot v_1^2 = \frac{2\ kg}{2}\cdot 10^2\ \frac{m^2}{s^2} = \fbox{\color[RGB]{192,0,0}{\bf 100\ J}}


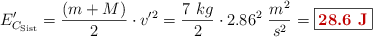
c) Después del choque debes tener en cuenta la masa total del sistema y la velocidad tras el choque que calculaste:

E^{\prime}_{C_{\text{Sist}}} = \frac{(m + M)}{2}\cdot v^{\prime}^2 = \frac{7\ kg}{2}\cdot 2.86^2\ \frac{m^2}{s^2} = \fbox{\color[RGB]{192,0,0}{\bf 28.6\ J}}


d) Basta con que hagas la diferencia entre las energías cinéticas calculadas:

\Delta E_C = (100 - 28.6)\ J = \fbox{\color[RGB]{192,0,0}{\bf 71.4\ J}}