Longitud del brazo de una catapulta para que los proyectiles salgan por una ventana (7487)

, por F_y_Q

Una catapulta es diseñada para lanzar proyectiles desde el interior de un castillo. El proyectil ha de pasar por una pequeña ventana ubicada a una altura H con respecto al eje de la catapulta. La catapulta lanza los proyectiles con rapidez u luego que el brazo se ha desplazado un ángulo \beta desde la horizontal. Determina la longitud del brazo de la catapulta para que esta funcione según el diseño.

P.-S.

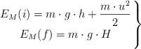
Un modo de resolver el problema es tener en cuenta la energía del proyectil en el momento en el que abandona la catapulta y cuando debe atravesar la ventana, que es la altura máxima que debe alcanzar. Si tienes en cuenta la energía mecánica del proyectil en ambos momentos:

\left E_M(i) = m\cdot g\cdot h + \dfrac{m\cdot u^2}{2} \atop E_M(f) = m\cdot g\cdot H \right \}

La altura del proyectil al abandonar la catapulta la debes escribir en función del ángulo y la longitud del brazo:

\color[RGB]{2,112,20}{\bm{E_M(i) = m\cdot g\cdot L\cdot sen\ \beta}}

Igualas ambas energías y despejas el valor de la longitud del brazo:

\cancel{m}\cdot g\cdot L\cdot sen\ \beta + \frac{\cancel{m}\cdot u^2}{2} = \cancel{m}\cdot g\cdot H\ \to\ \fbox{\color[RGB]{192,0,0}{\bm{L = \frac{2gH - u^2}{2g\cdot sen\ \beta}}}}