Colisión inelástica entre dos masas (2468)

, por F_y_Q

Dos masas inelásticas de 16 y 4 g se mueven en la misma dirección y en sentido contrario y con velocidades de 30 y 50 m/s respectivamente. Halla la velocidad que llevarán ambas masas después del choque sabiendo que las dos permanecen unidas.

P.-S.

Si aplicas la ecuación de la conservación del momento lineal en el caso de choques ineslásticos:

\color[RGB]{2,112,20}{\bm{m_1\cdot v_1 - m_2\cdot v_2  = (m_1 + m_2)\cdot v_f}}

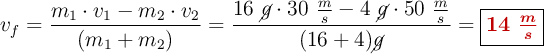
Solo tienes que despejar el valor de la velocidad final, sustituir y calcular:

v_f = \frac{m_1\cdot v_1 - m_2\cdot v_2}{(m_1 + m_2)} = \frac{16\ \cancel{g}\cdot 30\ \frac{m}{s} - 4\ \cancel{g}\cdot 50\ \frac{m}{s}}{(16 + 4) \cancel{g}}= \fbox{\color[RGB]{192,0,0}{\bm{14\ \frac{m}{s}}}}