Aceleración y tensión en un sistema de cuerpos enlazados sin rozamiento (2792)

, por F_y_Q

Un bloque de masa m_1 = 12\ kg está sobre una superficie horizontal lisa y unido, mediante una cuerda delgada que pasa sobre una polea, a un segundo bloque de masa m_2 = 8\ kg, que cuelga libre verticalmente. Aplica la segunda ley de Newton para encontrar las fórmulas para la aceleración del sistema y para la tensión de la cuerda y calcula el valor de cada una de ellas. Ignora la fricción y las masas de la polea y la cuerda.

P.-S.

En primer lugar, tienes que decidir hacia dónde se mueve el sistema. Lo lógico sería pensar que lo hace hacia donde cuelga el cuerpo de masa m_2.

El siguiente paso es dibujar todas las fuerzas presentes en el sistema. Debes obtener un esquema como este:


Solo debes considerar una fuerza en la dirección del movimiento: el peso del cuerpo que cuelga (\vec{p}_2), que es positivo porque coincide con el sentido que has supuesto al movimiento. Aplicas la segunda ley de Newton:

m_2\cdot g = (m_1 + m_2)\cdot a\ \to\ \color[RGB]{2,112,20}{\bm{a = \frac{m_2\cdot g}{(m_1 + m_2)}}}

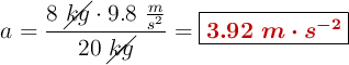
Sustituyes y calculas la aceleración:

a = \frac{8\ \cancel{kg}\cdot 9.8\ \frac{m}{s^2}}{20\ \cancel{kg}} = \fbox{\color[RGB]{192,0,0}{\bm{3.92\ m\cdot s^{-2}}}}


La tensión de la cuerda la obtienes aislando uno de los cuerpos. Lo más cómodo es aislar el cuerpo que cuelga porque solo hay dos fuerzas sobre él:

m_2\cdot g - T_2 = m_2\cdot a\ \to\ {\color[RGB]{2,112,20}{\bm{T_2 = m_2(g - a)}}}\ \to\ T_2 = 8\ kg\cdot (9.8 - 3.92)\ \frac{m}{s^2} = \fbox{\color[RGB]{192,0,0}{\bf 47\ N}}