Volumen de una disolución de agua oxigenada para preparar otra más diluida (7240)

, por F_y_Q

El perhidrol es una solución de agua oxigenada de 100 vol. Supón que tienes una solución de perhidrol desde hace varios años y la valoras para verificar su título, obteniendo un valor de 85 vol. ¿Cómo prepararías 10 L de una solución de agua oxigenada 1 vol. a partir de ese perhidrol? ¿Qué concentración en \%\ (p/V) tendría la solución preparada?

P.-S.

La reacción de descomposición del agua oxigenada es:

\color[RGB]{2,112,20}{\textbf{\ce{H2O2 -> H2O + 1/2 O2}}}


Observa que cada mol de peróxido de hidrógeno produce medio mol de oxígeno. Si defines una concentración de 1 vol como el volumen de \ce{H2O2} necesario para que se produzca 1 L de \ce{O_2}, en condiciones normales, puedes ver que los moles necesarios de \ce{H2O2} son:

1\ vol:\ \frac{1\ \cancel{\ce{mol\ O2}}}{22.4\ \cancel{L}}\cdot \frac{2\ \ce{mol\ H2O2}}{1\ \cancel{\ce{mol\ O2}}} = \color[RGB]{0,112,192}{\bm{8.93\cdot 10^{-2}}\ \textbf{\ce{mol\ H2O2}}}}

El volumen que necesitas de disolución titulada es:

c_1\cdot V_1 = c_2\cdot V_2\ \to\ V_1 = \frac{c_2\cdot V_2}{c_1} = \frac{1\ \cancel{vol}\cdot 10\ L}{85\ \cancel{vol}} = \fbox{\color[RGB]{192,0,0}{\bf 0.12\ L}}


Bastaría con tomar 0.12 L de la disolución titulada y disolverla hasta los 10 L de disolución final.

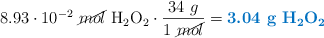
Al ser de una concentración 1 vol. quiere decir que contiene 8.93\cdot 10^{-2}\ mol de \ce{H2O2}. Si lo conviertes en masa:

8.93\cdot 10^{-2}\ \cancel{mol}\ \ce{H2O2}\cdot \frac{34\ g}{1\ \cancel{mol}} = \color[RGB]{0,112,192}{\textbf{3.04\ g\ \ce{H2O2}}}

El porcentaje (m/V) está referido a un volumen de 100 mL de disolución en lugar de los 10 L:

\%\ (\textstyle{m\overV}) = \frac{m_{\ce{H2O2}}}{V_D}\cdot 100 = \frac{3.04\ g\ \ce{H2O2}}{10^4\ mL\ D}\cdot 100 = \fbox{\color[RGB]{192,0,0}{\bm{3.04\cdot 10^{-2} \%}}}


Descarga el enunciado y la resolución del problema en formato EDICO si lo necesitas.