Concentraciones de los componentes de una mezcla de disoluciones (8460)

, por F_y_Q

Se prepara una disolución mezclando 50.0 g de sulfato de cobre(II) pentahidratado (\ce{CuSO4*5H2O}) con 200 mL de una disolución acuosa de \ce{H2SO4} 1.50 M, cuya densidad es 1.12 g/mL. Posteriormente, se diluye la mezcla hasta un volumen final de 500 mL, obteniendo una disolución con una densidad de 1.18 g/mL. Calcula:

a) La molaridad de \ce{CuSO4} en la disolución final.

b) La molalidad de \ce{H2SO4} en la disolución final.

c) El porcentaje en masa de \ce{CuSO4} en la disolución final.

d) La fracción molar de agua en la disolución final.

Datos: Cu = 63.55, S = 32.07, O = 16.00, H = 1.01. Considera que el \ce{H2SO4} se disocia completamente en sus iones.

P.-S.

a) Para determinar la molaridad de \ce{CuSO4} en la disolución final debes calcular los moles de la sal pentahidratada que has usado. La masa molecular de la sal es:

M_{\ce{CuSO4*5H2O}} = 1\cdot 63.55 + 1\cdot 32.07 + 4\cdot 16 + 5\cdot (2\cdot 1.01 + 16) = \color[RGB]{0,112,192}{\bm{249.72\ g\cdot mol^{-1}}}

Teniendo en cuenta que cada mol de la sal aporta un mol de \ce{CuSO4}, habrá:

50\ \cancel{g}\ \cdot \frac{1\ \cancel{\ce{mol\ CuSO4*5H2O}}}{249.72\ \cancel{g}}\cdot \frac{1\ \ce{mol CuSO4}}{1\ \cancel{\ce{mol\ CuSO4*5H2O}}} = \fbox{\color[RGB]{0,112,192}{\textbf{0.200 mol \ce{CuSO4}}}}

La molaridad es el cociente entre los moles calculados y el volumen final de la disolución:

M_{\ce{CuSO4}} = {\color[RGB]{2,112,20}{\bm{\frac{n_{\ce{CuSO4}}}{V_F}}}} = \frac{0.200\ \text{mol}}{0.500\ L} = \fbox{\color[RGB]{192,0,0}{\bf 0.400\ M}}


b) Los moles de \ce{H2SO4} aportados en la disolución de ácido los tienes que calcular a partir del volumen de esa disolución y su molaridad:

n_{\ce{H2SO4}} = M\cdot V = 1.50\ \frac{\text{mol}}{\cancel{L}}\cdot 0.200\ \cancel{L} = \color[RGB]{0,112,192}{\bf 0.300\ mol}

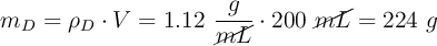
Como la molalidad viene dada en función de la masa de disolvente, debes saber qué masa de agua está contenida en la disolución de ácido. Primero calculas la masa de la disolución de ácido:

m_D = \rho_D\cdot V = 1.12\ \frac{g}{\cancel{{mL}}}\cdot 200\ \cancel{mL} = 224\ g

La masa de agua en la disolución es la diferencia entre la masa total y la masa de ácido:

m_{\ce{H2O}} = 224\ g - \left(0.3\ \cancel{\text{mol}}\cdot \frac{98.09\ g\ \ce{H2SO_4}}{1\ \cancel{\text{mol}}}\right) = \color[RGB]{0,112,192}{\textbf{194.57 g \ce{H2O}}}

La sal pentahidratada también aporta agua a la disolución final, por lo que tienes que determinar la masa de agua contenida en la sal. Por cada mol de sal, se incorporan 5 moles de agua:

0.2\ \cancel{\ce{mol\ CuSO4*5H2O}}\cdot \frac{5\ \cancel{\ce{mol H2O}}}{1\ \cancel{\ce{mol\ CuSO4*5H2O}}}\cdot \frac{18.02\ g}{1\ \cancel{\ce{mol\ H2O}}} = \fbox{\color[RGB]{0,112,192}{\textbf{18.02 g \ce{H2O}}}}

La masa total de agua, tras la mezcla de las dos disoluciones, es:

m_T = (194.57 + 18.02)\ g = 212.59\ \cancel{g}\cdot \frac{1\ kg}{10^3\ \cancel{g}} = \color[RGB]{0,112,192}{\bf 0.2126\ kg}

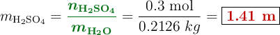
La molalidad del ácido es:

m_{\ce{H2SO4}} = {\color[RGB]{2,112,20}{\bm{\frac{n_{\ce{H2SO4}}}{m_{\ce{H2O}}}}}} = \frac{0.3\ \text{mol}}{0.2126\ kg} = \fbox{\color[RGB]{192,0,0}{\bf 1.41\ m}}


c) Necesitas conocer la masa de \ce{CuSO4} y la masa total de la disolución final:

\left m_{\ce{CuSO4}} = n_{\ce{CuSO4}}\cdot M_{\ce{CuSO4}} = 0.200\ \cancel{\text{mol}}\cdot 159.62\ \dfrac{g}{\cancel{\text{mol}}} = {\color[RGB]{0,112,192}{\bf 31.92\ g}} \atop m_D = V_D\cdot \rho_D = 500\ \cancel{mL}\cdot 1.18\ \dfrac{g}{\cancel{mL}} = {\color[RGB]{0,112,192}{\bf 590\ g}} \right \}

El porcentaje en masa es:

\%\ (m) = \frac{31.92\ \cancel{g}}{590\ \cancel{g}}\cdot 100 = \fbox{\color[RGB]{192,0,0}{\bf 5.41\ \%}}


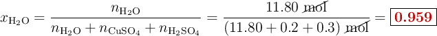
d) La fracción molar es el cociente de los moles del componente, el agua en este caso, y los moles totales. Los moles agua son:

n_{\ce{H2O}} = {\color[RGB]{2,112,20}{\bm{\frac{m_{\ce{H2O}T}}{M_{\ce{H2O}}}}}} = \frac{212.59\ \cancel{g}}{18.02\ \frac{\cancel{g}}{\text{mol}}} = \color[RGB]{0,112,192}{\bf 11.8\ mol}}

Como conoces los moles del soluto, de las dos sustancias que no son el agua, los moles totales serán la suma de todos ellos:

x_{\ce{H2O}} = \frac{n_{\ce{H2O}}}{n_{\ce{H2O}} + n_{\ce{CuSO4}} + n_{\ce{H2SO4}}} = \frac{11.80\ \cancel{\text{mol}}}{(11.80 + 0.2 + 0.3)\ \cancel{\text{mol}}} = \fbox{\color[RGB]{192,0,0}{\bf 0.959}}