Concentración de catión calcio en una muestra de suero sanguíneo (7786)

, por F_y_Q

Al analizar una muestra de suero sanguíneo se encuentra que contiene 102.5\ \mu g de \textstyle{\ce{Ca^2+}\over \text{mL}} de suero. Si la densidad del suero es 1.053 g/mL y el peso atómico del calcio es 40.08, cuál es la concentración de \ce{Ca^2+} expresada en: a) molaridad b) \textstyle{\ce{meq\ Ca^2+}\over \text{L\ de\ suero}}; c) ppm de \ce{Ca^2+} en peso?

P.-S.

a) Para calcular la molaridad debes llevar el soluto a moles y la disolución a litro:

102.5\ \frac{\cancel{\mu g}\ \ce{Ca^2+}}{\cancel{mL}\ \text{suero}}\cdot \frac{1\ \cancel{g}}{10^6\ \cancel{\mu g}}\cdot \frac{1\ \text{mol}}{40.08\ \cancel{g}}\cdot \frac{10^3\ \cancel{mL}}{1\ L} = \fbox{\color[RGB]{192,0,0}{\bm{2.557\cdot 10^{-3}\ M}}}


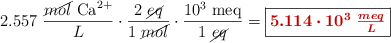
b) Cada mol de \ce{Ca^2+} contiene dos equivalente del catión:

2.557\ \frac{\cancel{mol}\ \ce{Ca^2+}}{L}\cdot \frac{2\ \cancel{eq}}{1\ \cancel{mol}}\cdot \frac{10^3\ \text{meq}}{1\ \cancel{eq}} = \fbox{\color[RGB]{192,0,0}{\bm{5.114\cdot 10^3\ \frac{meq}{L}}}}


c) Para hacer las partes por millón puedes calcular la masa del suero y compararla con la masa del catión:

102.5\ \frac{\mu g}{\cancel{mL\ suero}}\cdot \frac{1\ \cancel{mL\ suero}}{1.053\ g} = \fbox{\color[RGB]{192,0,0}{\bf 97.34\ ppm}}