Factor de Van’t Hoff, grado de disociación y aumento ebulloscópico de una disolución de una sal (7232)

, por F_y_Q

Una solución acuosa de nitrato de magnesio 0.200 m, presenta un descenso crioscópico de 0.960\ ^oC. Las constantes crioscópica y ebulloscópica del agua son, 1.86 y 0.520 \textstyle{^oC\cdot kg\over mol} respectivamente. Calcula:

a) El valor del factor de Van’t Hoff.

b) El grado de disociación.

c) ¿Cuál sería el aumento ebulloscópico de la disolución?

P.-S.

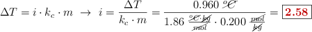
a) Para calcular el factor de Van’t Hoff solo tienes que partir de la ecuación del descenso crioscópico, que es el dato que conoces en el enunciado:

\Delta T = i\cdot k_c\cdot m\ \to\ i = \frac{\Delta T}{k_c\cdot m} = \frac{0.960\ \cancel{^oC}}{1.86\ \frac{\cancel{^oC}\cdot \cancel{kg}}{\cancel{mol}}\cdot 0.200\ \frac{\cancel{mol}}{\cancel{kg}}} = \fbox{\color[RGB]{192,0,0}{\bf 2.58}}


b) El grado de disociación, teniendo en cuenta que es un electrolito fuerte y que se disocia en 3 iones, un catión y dos aniones, es:

i = 1 + \alpha(n - 1)\ \to\ \alpha = \frac{i - 1}{(3 -1)} = \frac{2.58 - 1}{2} = \fbox{\color[RGB]{192,0,0}{\bf 0.790}}


c) Para determinar el aumento ebulloscópico debes considerar la constante ebulloscópica del agua:

\Delta T = i\cdot k_{eb}\cdot m = 2.58\cdot 0.520\ \frac{^oC\cdot \cancel{kg}}{\cancel{mol}}\cdot 0.200\ \frac{\cancel{mol}}{\cancel{kg}} = \fbox{\color[RGB]{192,0,0}{\bm{0.268\ ^oC}}}


Descarga el enunciado y la resolución del problema en formato EDICO si lo necesitas.