Volumen de ácido impuro para disolución normal 0001

, por F_y_Q

Se dispone de una disolución de ácido sulfúrico de densidad 1,824 g/mL y una riqueza del 92\%. Calcula el volumen de este ácido que hay que tomar para preparar 500 mL de otra disolución 0,5 N.

P.-S.

Para preparar la disolución que nos indican necesitaremos:
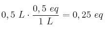
0,5\ L\cdot \frac{0,5\ eq}{1\ L} = 0,25\ eq
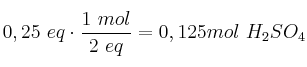
Pero nuestro ácido es diprótico, por lo que un mol de ácido contiene dos equivalentes:
0,25\ eq\cdot \frac{1\ mol}{2\ eq} = 0,125 mol\ H_2SO_4
Convertimos en masa los moles de ácido, teniendo en cuenta que la masa molecular del ácido es 98 g/mol:
0,125\ mol\ H_2SO_4\cdot \frac{98\ g}{1\ mol} = 12,25 g\ H_2SO_4
Pero nuestra disolución de partida no es pura, así que debemos determinar la masa de disolución que necesitaremos:
12,25\ g\ H_2SO_4\cdot \frac{100\ g\ D}{92\ g\ H_2SO_4} = 13,32 g\ D
Tenemos que calcular el volumen de la disolución así que usamos la densidad de esta para transformar la masa calculada en volumen:

13,32\ g\ D\cdot \frac{1\ mL}{1,824\ g} = \bf 7,3\ mL\ D