Molaridad de una disolución de 40 g de etanol en un volumen de 40 mL

, por F_y_Q

Calcula la molaridad de un disolución formada por 40 gramos de etanol (C_2H_6O) en un volumen total de 40 mL.

P.-S.

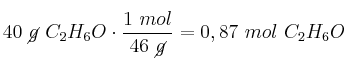
En primer lugar calculamos los moles de etanol. La masa molecular del etanol es 12\cdot 2 + 1\cdot 6 + 16\cdot 1 = 46\ \textstyle{g\over mol}:

40\ \cancel{g}\ C_2H_6O\cdot \frac{1\ mol}{46\ \cancel{g}} = 0,87\ mol\ C_2H_6O


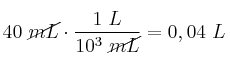
El volumen de disolución debe estar expresado en litros para poder calcular la molaridad: 40\ \cancel{mL}\cdot \frac{1\ L}{10^3\ \cancel{mL}} = 0,04\ L
La molaridad es:

M = \frac{mol\ C_2H_6O}{L\ disoluci\acute{o}n} = \frac{0,87\ mol}{0,04\ L} = \bf 21,75\ \frac{mol}{L}