Masa de ácido sulfúrico para disolución molar 0001

, por F_y_Q

¿Qué masa de ácido sulfúrico será necesaria para preparar 2,2 L de disolución 5 M?

P.-S.

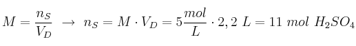
Si aplicamos la definición de molaridad, podremos calcular los moles de ácido que necesitamos para preparar el volumen de disolución que nos indican:

M = \frac{n_S}{V_D}\ \to\ n_S = M\cdot V_D = 5\frac{mol}{L}\cdot 2,2\ L = 11\ mol\ H_2SO_4


La masa molecular del ácido sulfúrico es: 2·1 + 1·32 + 4·16 = 98 g/mol
Ahora podemos convertir los moles de ácido en masa:

11\ mol\ H_2SO_4\cdot \frac{98\ g}{1\ mol} = \bf 1\ 078\ g\ H_2SO_4