Viscosidad cinemática de un líquido a partir de su peso específico y su viscosidad dinámica (8163)

, por F_y_Q

Un líquido tiene un peso específico de 59 \textstyle{lb\over ft^3} y una viscosidad dinámica de 2.75\ \textstyle{lb\cdot s\over ft^2}. Determina su viscosidad cinemática.

P.-S.

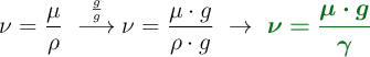
La viscosidad cinemática se puede escribir en función de la viscosidad dinámica y de la densidad del líquido:

\nu = \frac{\mu}{\rho}\ \stackrel{\frac{g}{g}}{\longrightarrow} \nu = \frac{\mu\cdot g}{\rho\cdot g}\ \to\ \color[RGB]{2,112,20}{\bm{\nu = \frac{\mu\cdot g}{\gamma}}}

El primer paso será convertir los datos a unidades SI, para poder usar el dato de «g» conocido en esas unidades.

\left \nu = 59\ \frac{\cancel{lb}}{\cancel{ft^3}}\cdot \frac{0.454\ kg}{1\ \cancel{lb}}\cdot \frac{1\ \cancel{ft^3}}{2.83\cdot 10^{-2}\ m^3} = {\color[RGB]{0,112,192}{\bm{9.46\cdot 10^2\ \frac{kg}{m^3}}}} \atop \mu = 2.75\ \frac{\cancel{lb}\cdot s}{\cancel{ft^2}}\cdot \frac{0.454\ kg}{1\ \cancel{lb}}\cdot \frac{1\ \cancel{ft^2}}{9.29\cdot 10^{-2}\ m^2} = {\color[RGB]{0,112,192}{\bm{13.4\ \frac{kg\cdot s}{m^2}}}\right \}}

Sustituyes y calculas la viscosidad cinemática:

\nu = \frac{13.4\ \frac{\cancel{kg}\cdot \cancel{s}}{m\cancel{^2}}\cdot 9.8\ \frac{\cancel{m}}{s\cancel{^2}}}{9.46\cdot 10^2\ \frac{\cancel{kg}}{m^3}} = \fbox{\color[RGB]{192,0,0}{\bm{1.39\ \frac{m^2}{s}}}}