Burbuja liberada por un buzo que asciende a la superficie (6395)

, por F_y_Q

Un buzo libera una burbuja (esférica) de aire de 3.6 cm de diámetro desde el fondo de un lago de 14 m de profundidad. Supón que la temperatura es constante e igual a 298 K y que el aire se comporta como un gas ideal.

a) ¿De qué tamaño es la burbuja cuando alcanza la superficie.

b) Dibuja el diagrama P-V para el proceso

c) Aplicando la primera ley de la termodinámica a la burbuja, determina el trabajo que realiza el aire al elevarse a la superficie, el cambio de energía interna y el calor agregado o eliminado del aire de la burbuja conforme se eleva.

P.-S.

El volumen de la burbuja es:

V_1 = \frac{4}{3}\cdot \pi\cdot R^3 = \frac{4\cdot 3.14}{3}\cdot (1.8)^3\ \cm^3 = \color[RGB]{0,112,192}{\bm{24.4\ cm^3}}

Ahora debes calcular los moles de aire que contiene la burbuja cuando es liberada. La presión total a la que está sumergida la burbuja es 2.4 atm (1.4 atm de presión hidrostática + 1 atm del aire):

PV = nRT\ \to\ n = \frac{PV}{RT} = \frac{2.4\ \cancel{atm}\cdot 24.4\cdot 10^{-3}\ \cancel{L}}{0.082\ \frac{\cancel{atm}\cdot \cancel{L}}{\cancel{K}\cdot mol}\cdot 298\ \cancel{K}} = \color[RGB]{0,112,192}{\bm{2.4\cdot 10^{-3}\ mol}}

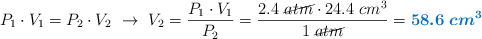
a) Como el ascenso de la burbuja es isotérmico, podemos aplicar la ley de Boyle para calcular el tamaño de la burbuja en la superficie:

P_1\cdot V_1 = P_2\cdot V_2\ \to\ V_2 = \frac{P_1\cdot V_1}{P_2} = \frac{2.4\ \cancel{atm}\cdot 24.4\ cm^3}{1\ \cancel{atm}} = \color[RGB]{0,112,192}{\bm{58.6\ cm^3}}

El radio que corresponde a ese volumen es:

V = \frac{4\pi}{3}\cdot R^3\ \to\ R = \sqrt[3]{\frac{3V}{4\pi}} = \fbox{\color[RGB]{192,0,0}{\bf 2.4\ cm}}}


b) El diagrama sigue la forma de la siguiente curva:


c) Como la presión no es constante, el trabajo de expansión de la burbuja es igual a:

W = nRT\cdot ln\ \frac{V_2}{V_1} = 2.4\cdot 10^{-3}\ \cancel{mol}\cdot 8.314\ \frac{J}{\cancel{K}\cdot \cancel{mol}}\cdot 298\ \cancel{K}\cdot ln\ \frac{58.6\ \cancel{cm^3}}{24.4\ \cancel{cm^3}} = \fbox{\color[RGB]{192,0,0}{\bf 5.2\ J}}}


Al ser un proceso isotérmico, la variación de la energía interna es nula (\fbox{\color[RGB]{192,0,0}{\bm{\Delta U = 0}}}) y, por lo tanto, el calor será igual que el trabajo pero cambiado de signo.