Peso específico, densidad y densidad relativa de un líquido (8162)

, por F_y_Q

Cuando se vierten 500 mL de un líquido en una probeta graduada, se encuentra que pesan 6 N. Determina el peso específico, la densidad y la densidad relativa del líquido.

P.-S.

El peso específico del líquido es el cociente entre su peso y el volumen que ocupa:

\gamma = \frac{p}{V} = \frac{6\ N}{0.5\ L} = \color[RGB]{0,112,192}{\bm{12\ \frac{N}{L}}}

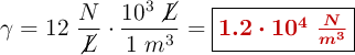
Dado que el peso viene expresado en newton, es necesario expresar el resultado en unidad SI, por lo que el volumen debe estar en metros cúbicos:

\gamma = 12\ \frac{N}{\cancel{L}}\cdot \frac{10^3\ \cancel{L}}{1\ m^3} = \fbox{\color[RGB]{192,0,0}{\bm{1.2\cdot 10^4\ \frac{N}{m^3}}}}


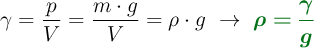
La densidad se relaciona con el peso específico:

\gamma = \frac{p}{V} = \frac{m\cdot g}{V} = \rho\cdot g\ \to\ \color[RGB]{2,112,20}{\bm{\rho = \frac{\gamma}{g}}}

Sustituyes en la ecuación anterior y calculas:

\rho = \frac{1.2\cdot 10^4\ \frac{N}{m^3}}{9.8\ \frac{m}{s^2}} = \fbox{\color[RGB]{192,0,0}{\bm{1.22\cdot 10^3\ \frac{kg}{m^3}}}}


La densidad relativa del líquido es la densidad con respecto a la del agua:

\rho^{\prime} = \frac{\rho_{\tex{liq}}}{\rho_{\text{ag}}} = \frac{1.22\cdot 10^3\ \cancel{\frac{kg}{m^3}}}{10^3\ \cancel{\frac{kg}{m^3}}} = \fbox{\color[RGB]{192,0,0}{\bf 1.22}}