Velocidad y distancia recorrida por un patinador tras impulsarse (1112)

, por F_y_Q

Un patinador de 70 kg se impulsa sobre el hielo con una fuerza de 130 N. Si inicialmente se encuentra en reposo, ¿qué velocidad alcanza a los 5 s y qué distancia recorre en ese tiempo?

P.-S.

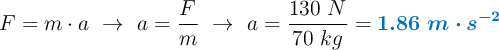
Dado que conoces la masa del patinador y la fuerza con la que se impulsa, puedes determinar la aceleración que adquiere si aplicas la segunda ley de Newton:

F = m\cdot a\ \to\ a = \frac{F}{m}\ \to\ a = \frac{130\ N}{70\ kg} = \color[RGB]{0,112,192}{\bm{1.86\ m\cdot s^{-2}}}

El movimiento que inicia el patinador es un movimiento rectilíneo uniformemente acelerado. Si desprecias los rozamientos, la ecuación que relaciona la velocidad del patinador con la aceleración adquirida es:

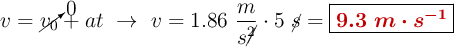
\color[RGB]{2,112,20}{\bm{v = v_0 + at}}

Pero debes imponer la condición de que la velocidad inicial es cero a esta ecuación:

v = \cancelto{0}{v_0} + at\ \to\ v = 1.86\ \frac{m}{s\cancel{^2}}\cdot 5\ \cancel{s} = \fbox{\color[RGB]{192,0,0}{\bm{9.3\ m\cdot s^{-1}}}}


Puedes calcular la distancia que recorre con la expresión:

x = x_0 + v_0t + \frac{a}{2}t^2

Si tomas la referencia en el patinador cuando aún está en reposo, la ecuación se simplifica y puedes calcular la distancia muy cómodamente:

x = \cancelto{0}{x_0} + \cancelto{0}{v_0}\cdot t + \frac{a}{2}\cdot t^2\ \to\ x = \frac{1.86}{2}\ \frac{m}{\cancel{s^2}}\cdot 25\ \cancel{s^2} = \fbox{\color[RGB]{192,0,0}{\bf 23.3\ m}}