Velocidad y distancia que recorre una bola de billar al aplicarse una fuerza (1111)

, por F_y_Q

Una bola de billar de 0.4 kg se desliza por el suelo, sin rozamiento, a una velocidad de 1 m/s. Otra bola que se desliza en la misma dirección y sentido impulsa a la primera con una fuerza de 1.5 N. Calcula la velocidad que alcanza la primera bola a los 2 s de producirse el choque y la distancia que recorre en ese tiempo.

P.-S.

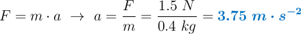
Cuando la primera bola recibe la fuerza de la segunda, que es en la misma dirección y sentido, su aceleración es:

F = m\cdot a\ \to\ a = \frac{F}{m} = \frac{1.5\ N}{0.4\ kg} = \color[RGB]{0,112,192}{\bm{3.75\ m\cdot s^{-2}}}

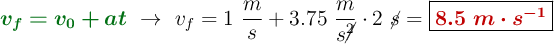
Como sigue un movimiento rectilíneo uniformemente acelerado:

{\color[RGB]{2,112,20}{\bm{v_f = v_0 + at}}}\ \to\ v_f = 1\ \frac{m}{s} + 3.75\ \frac{m}{s\cancel{^2}}\cdot 2\ \cancel{s} = \fbox{\color[RGB]{192,0,0}{\bm{8.5\ m\cdot s^{-1}}}}


La distancia que recorre la calculas con la ecuación de distancia para el MRUA:

{\color[RGB]{2,112,20}{\bm{s = v_0\cdot t + \frac{a}{2}\cdot t^2}}} = 1\ \frac{m}{\cancel{s}}\cdot 2\ \cancel{s} + \frac{3.75}{2}\ \frac{m}{\cancel{s^2}}\cdot 2^2\ \cancel{s^2} = \fbox{\color[RGB]{192,0,0}{\bf 9.5\ m}}