Velocidad que aumenta uniformemente (2081)

, por F_y_Q

Una locomotora necesita 10 s para alcanzar su velocidad normal que es 60 km/h. Suponiendo que su movimiento es uniformemente acelerado, ¿qué aceleración y qué espacio ha recorrido antes de alcanzar la velocidad regular?

P.-S.

Lo primero que debes hacer es convertir la velocidad del tren a m/s porque el tiempo viene dado en segundos:

60\ \frac{\cancel{km}}{\cancel{h}}\cdot \frac{1\ 000\ m}{1\ \cancel{km}}\cdot \frac{1\ \cancel{h}}{3\ 600\ s} = \color[RGB]{0,112,192}{\bm{16.67\ \frac{m}{s}}}

Ahora calculas la aceleración que debe tener para alcanzar esa velocidad en 10 s, suponiendo que al inicio estaba parado:

v_f = v_0 + at\ \to\ a = \frac{v}{t} = \frac{16.7\ \frac{m}{s}}{10\ s} = \fbox{\color[RGB]{192,0,0}{\bm{1.67\ \frac{m}{s^2}}}}


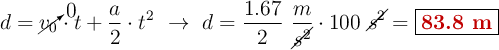
Solo te queda el cálculo de la distancia recorrida, considerando que la velocidad inicial es nula:

d = \cancelto{0}{v_0}\cdot t + \frac{a}{2}\cdot t^2\ \to\ d = \frac{1.67}{2}\ \frac{m}{\cancel{s^2}}\cdot 100\ \cancel{s^2} = \fbox{\color[RGB]{192,0,0}{\bf 83.8\ m}}