Partícula que se mueve circularmente con velocidad constante (7660)

, por F_y_Q

Una partícula de 500 g de masa gira 250^o en dos décimas de segundo en una circunferencia de 40 cm de radio. Con esta información determina:

a) La velocidad angular.

b) La aceleración centrípeta.

c) La frecuencia y periodo.

d) La fuerza centrípeta.

e) El número de vueltas que gira en 10 s.

P.-S.

Debes tener cuidado con las unidades y expresarlas todas en el Sistema Internacional. El ángulo que gira, expresado en radianes, es:

\alpha = 250\ \cancel{^o}\cdot \frac{2\pi\ rad}{360\ \cancel{^o}} = \color[RGB]{0,112,192}{\bf 4.361\ rad}

a) La velocidad angular es el cociente entre el ángulo que ha girado y el tiempo empleado en ello:

\omega = \frac{\alpha}{t} = \frac{4.361\ rad}{0.2\ s} = \fbox{\color[RGB]{192,0,0}{\bm{21.8\ \frac{rad}{s}}}}


b) La aceleración centrípeta la puedes escribir en función de la velocidad angular que acabas de calcular y el radio de la circunferencia:

\left a_{ct} = \frac{v^2}{R} \atop v = \omega\cdot R \right \}\ \to\ \color[RGB]{2,112,20}{\bm{a_{ct} = \omega^2\cdot R}}

Sustituyes y calculas:

a_{ct} = 21.8^2\ s^{-2}\cdot 0.4\ m = \fbox{\color[RGB]{192,0,0}{\bm{190\ \frac{m}{s^2}}}}


c) El periodo es el tiempo que tarda la partícula en completar una vuelta:

T = \frac{2\pi}{\omega} = \frac{2\pi\ \cancel{rad}}{21.8\ \frac{\cancel{rad}}{s}} = \fbox{\color[RGB]{192,0,0}{\bf 0.288\ s}}


La frecuencia es la inversa del periodo:

f = \frac{1}{T} = \frac{1}{0.288\ s} = \fbox{\color[RGB]{192,0,0}{\bm{3.47\ s^{-1}}}}


d) La fuerza centrípeta es inmediata porque sabes la masa de la partícula:

F_{ct} = m\cdot a_{ct} = 0.5\ kg\cdot 190\ \frac{m}{s^2} = \fbox{\color[RGB]{192,0,0}{\bf 95\ N}}


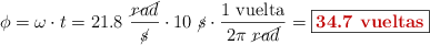
e) Aplicando la definición de la velocidad angular y despejando el ángulo que gira puedes tener las vueltas, pero debes aplicar el factor de conversión para ello:

\phi = \omega\cdot t = 21.8\ \frac{\cancel{rad}}{\cancel{s}}\cdot 10\ \cancel{s}\cdot \frac{1\ \text{vuelta}}{2\pi\ \cancel{rad}} = \fbox{\color[RGB]{192,0,0}{\textbf{34.7\ \text{vueltas}}}}