Velocidad final de una persona a partir de la variación de su momento lineal (7463)

, por F_y_Q

Una persona de 784.8 N de peso se desplaza con una rapidez inicial de 45 \ \textstyle{km\over h}. Determina su rapidez final si la variación de su momento lineal es de 40\ \textstyle{kg\cdot m\over s}.

P.-S.

Debes tener cuidado con el dato de la velocidad inicial porque no está en unidad SI. Si divides por 3.6 obtienes un valor de 12.5\ \textstyle{m\over s} como velocidad inicial. A partir de la ecuación de la conservación de la cantidad de movimiento:

\color[RGB]{2,112,20}{\bm{\Delta p = m(v_0 - v_f)\ \to\ v_f = \frac{\Delta p}{m} + v_0}}

El dato que te facilita el enunciado es el peso, por lo que la masa la puedes sustituir por el cociente entre el peso y g:

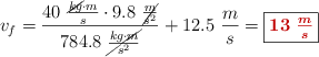
v_f = \frac{40\ \frac{\cancel{kg}\cdot m}{s}\cdot 9.8\ \cancel{\frac{m}{s^2}}}{784.8\ \cancel{\frac{kg\cdot m}{s^2}}} + 12.5\ \frac{m}{s} = \fbox{\color[RGB]{192,0,0}{\bm{13\ \frac{m}{s}}}}


Descarga el enunciado y la resolución del problema en formato EDICO si lo necesitas.