Velocidad de una aeroplano medida con un tubo de Pitot (6515)

, por F_y_Q

Un tubo de Pitot se monta sobre el ala de un aeroplano para determinar su rapidez con respecto al aire. El tubo contiene alcohol e indica una diferencia de nivel de 4.9 in. ¿Cuál es la rapidez del avión relativa al aire?

La densidad del alcohol es de 8.1\cdot 10^2\ \textstyle{km\over m^3} . La densidad del aire es de 1.21\ \textstyle{kg\over m^3} , 1 in = 2.54 cm.

P.-S.

A partir de la ecuación de Bernouilli aplicada al caso de un gas que fluye, que sería el aire con respecto al alcohol del tubo, la diferencia de presiones queda dada en función de la densidad del líquido. La ecuación para la velocidad del gas es:

\color[RGB]{2,112,20}{\bm{v = \sqrt{\frac{2gh\cdot \rho_l}{\rho_g}}}}

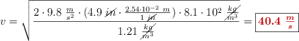
Sustituyes y calculas la velocidad:

v = \sqrt{\frac{2\cdot 9.8\ \frac{m}{s^2}\cdot (4.9\ \cancel{in}\cdot \frac{2.54\cdot 10^{-2}\ m}{1\ \cancel{in}})\cdot 8.1\cdot 10^2\ \cancel{\frac{kg}{m^3}}}{1.21\ \cancel{\frac{kg}{m^3}}}} = \fbox{\color[RGB]{192,0,0}{\bm{40.4\ \frac{m}{s}}}}