Variación de la presión con la altitud en el interior de un globo aerostático (8137)

, por F_y_Q

Un globo aerostático se llena con una presión de 950 mbares antes de elevarse. Mientras asciende, se realizan tres medidas de presión que son 904 mbar, 864 mbar y 785 mbar, respectivamente. Calcula la altitud del globo, en metros, cuando se ha realizado cada una de la mediciones. Supón que el aire tiene una densidad promedio de 1.2\ kg\cdot m^{-3} y desprecia la variación de la aceleración de la gravedad durante el ascenso.

P.-S.

En estática de fluidos, se establece la relación entre la variación de la presión con la altura, o profundidad, en el seno del fluido, mediante la ecuación:

\color[RGB]{2,112,20}{\bm{\Delta P = - \rho\cdot g\cdot \Delta h}}

El signo negativo se debe a que se trata de un globo que asciende, por lo que debes considerar que la variación de la presión será negativa.

Si despejas de la ecuación anterior el valor de la altura, tendrás:

P_i - P_f = \rho\cdot g\cdot (h_f - \cancelto{0}{h_i})\ \to\ \color[RGB]{2,112,20}{\bm{h_f = \frac{P_i - P_f}{\rho\cdot g}}}

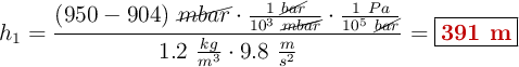
Altitud para el primer valor de presión.

h_1 = \frac{(950 - 904)\ \cancel{mbar}\cdot \frac{1\ \cancel{bar}}{10^3\ \cancel{mbar}}\cdot \frac{1\ Pa}{10^5\ \cancel{bar}}}{1.2\ \frac{kg}{m^3}\cdot 9.8\ \frac{m}{s^2}} = \fbox{\color[RGB]{192,0,0}{\bf 391\ m}}


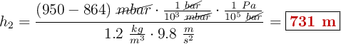
Altitud para el segundo valor de presión.

h_2 = \frac{(950 - 864)\ \cancel{mbar}\cdot \frac{1\ \cancel{bar}}{10^3\ \cancel{mbar}}\cdot \frac{1\ Pa}{10^5\ \cancel{bar}}}{1.2\ \frac{kg}{m^3}\cdot 9.8\ \frac{m}{s^2}} = \fbox{\color[RGB]{192,0,0}{\bf 731\ m}}


Altitud para el tercer valor de presión.

h_3 = \frac{(950 - 785)\ \cancel{mbar}\cdot \frac{1\ \cancel{bar}}{10^3\ \cancel{mbar}}\cdot \frac{1\ Pa}{10^5\ \cancel{bar}}}{1.2\ \frac{kg}{m^3}\cdot 9.8\ \frac{m}{s^2}} = \fbox{\color[RGB]{192,0,0}{\bf 1\ 403\ m}}