Velocidad de un fluido en una tubería sabiendo el caudal y el radio (7431)

, por F_y_Q

La zona de restaurante presenta un problema en el abastecimiento de agua ya que actualmente por sus tuberías fluye agua potable con un gasto de 1.6\ \textstyle{m^3\over s}. Determina la rapidez del agua en un tramo en el que la tubería tiene un radio de 0.5 m.

P.-S.

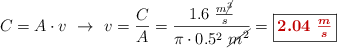
El caudal es igual al producto área de la tubería y la velocidad del fluido. Si despejas el valor de la velocidad y sustituyes:

C = A\cdot v\ \to\ v = \frac{C}{A} = \frac{1.6\ \frac{m\cancel{^3}}{s}}{\pi\cdot 0.5^2\ \cancel{m^2}} = \fbox{\color[RGB]{192,0,0}{\bm{2.04\ \frac{m}{s}}}}


Descarga el enunciado y la resolución del problema en formato EDICO si lo necesitas.