Diferencia de presión entre dos tramos de un tubería de diámetros distintos (7223)

, por F_y_Q

Por el tramo inicial de una tubería horizontal circula nafta Premium, cuya densidad a 15 ^oC es 0.75\ \textstyle{g\over cm^3} y de viscosidad despreciable, a una velocidad de 1.5\ \textstyle{m\over s} . El tramo final de la tubería tiene un diámetro que es la mitad del diámetro del tramo inicial. Determina la diferencia de presión entre el tramo inicial de la cañería y el tramo final.

P.-S.

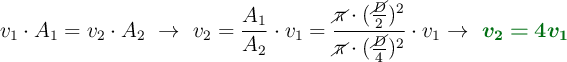
Puedes empezar el problema aplicando la condición de continuidad para establecer la relación entre las velocidades del fluido en ambos tramos:

v_1\cdot A_1 = v_2\cdot A_2\ \to\ v_2 = \frac{A_1}{A_2}\cdot v_1 = \frac{\cancel{\pi}\cdot (\frac{\cancel{D}}{2})^2}{\cancel{\pi}\cdot (\frac{\cancel{D}}{4})^2}\cdot v_1 \to\ \color[RGB]{2,112,20}{\bm{v_2 = 4v_1}}

Como el tramo de tubería es horizontal, en la ecuación de Bernoulli no hay componente vertical y puedes escribir como:

\color[RGB]{2,112,20}{\bm{P_1 - P_2= \frac{1}{2}\cdot \rho_{H_2O}\Big(v_2^2 - v_1^2\Big)}}

Solo tienes que sustituir en la ecuación, pero cuidando de las unidades:

P_1 - P_2 = \frac{750}{2}\ \frac{kg}{m^3}\Big([4v_1]^2 - v_1^2\Big) = 375\ \frac{kg}{m^3}\cdot 15\cdot 1.5^2\ \frac{m^2}{s^2}= \fbox{\color[RGB]{192,0,0}{\bm{1.27\cdot 10^4\ Pa}}}