Velocidad con la que se mueven dos carros que chocan y quedan unidos (5481)

, por F_y_Q

Un carrito de 8 kg que se mueve con una velocidad de 5 m/s choca con otro carrito de 2 kg que se encuentra en reposo y después del choque los dos carritos siguen moviéndose juntos. ¿Cuál es la velocidad final de los dos carros?

P.-S.

Para calcular la velocidad final solo tenemos que tratar la situación como un choque perfectamente inelástico en el que se conserva la cantidad de movimiento del sistema:

m_1\cdot \cancelto{0}{v_1} + m_2\cdot v_2  = (m_1 + m_2)\cdot v_f

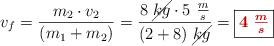
Hemos supuesto que el carro que está parado al inicio es 1. Despejamos el valor de la velocidad final y calculamos:

v_f = \frac{m_2\cdot v_2}{(m_1 + m_2)} = \frac{8\ \cancel{kg}\cdot 5\ \frac{m}{s}}{(2 + 8)\ \cancel{kg}} = \fbox{\color[RGB]{192,0,0}{\bm{4\ \frac{m}{s}}}}