Velocidad angular de un cuerpo que gira por el peso de otro (7340)

, por F_y_Q

Se sujeta una masa de 2.00 kg a una cuerda que pasa por un pequeño orificio en una mesa sin fricción. Al inicio, la masa se encuentra moviéndose en un círculo de r = 0.50 m, con una rapidez de 1.00 m/s.

a) Si se tira de la cuerda hasta disminuir el radio a 0.25 m, ¿con qué rapidez angular gira la masa en este instante?

b) ¿Cuál es la tensión en la cuerda al inicio, bajo las condiciones del inciso anterior?

P.-S.

b) Puedes empezar la resolución del problema calculando la tensión de la cuerda porque solo depende de la masa del cuerpo que cuelga:

T = M\cdot g = 2\ kg\cdot 9.8\ \frac{m}{s^2} = \fbox{\color[RGB]{192,0,0}{\bf 19.6\ N}}


a) Al describir un movimiento circular, la resultante de las fuerzas sobre la masa que gira tiene que ser igual a la fuerza centrípeta. La única fuerza que se aplica sobre ella es la tensión de la cuerda si prescindes de rozamientos:

F_{ct} = T\ \to\ \color[RGB]{2,112,20}{\bm{m\cdot \frac{v^2}{r} = M\cdot g}}

Puedes escribir las velocidades en función de la velocidad angular:

\color[RGB]{2,112,20}{\bm{m\cdot \omega^2\cdot r = M\cdot g}}

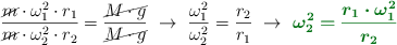
Si comparas las dos situaciones, es decir, si haces el cociente entre la igualdad antes y después de que se acorte el radio, y teniendo en cuenta que la tensión es la misma en ambos casos:

\frac{\cancel{m}\cdot \omega_1^2\cdot r_1}{\cancel{m}\cdot \omega_2^2\cdot r_2} = \frac{\cancel{M\cdot g}}{\cancel{M\cdot g}}\ \to\ \frac{\omega_1^2}{\omega_2^2} = \frac{r_2}{r_1}\ \to\ \color[RGB]{2,112,20}{\bm{\omega_2^2 = \frac{r_1\cdot \omega_1^2}{r_2}}}

Si reescribes la ecuación en función de la velocidad lineal de la masa, que es el dato del enunciado, obtienes:

\omega_2 = \sqrt{\frac{\cancel{r_1}\cdot v_1^2}{r_2\cdot r_1\cancel{^2}}} = \sqrt{\frac{1^2\ \frac{\cancel{m^2}}{s^2}}{0.25\ \cancel{m}\cdot 0.5\ \cancel{m}}} = \fbox{\color[RGB]{192,0,0}{\bm{2.83\ s^{-1}}}}