Velocidad a la que una caja resbala de una plataforma que gira (7353)

, por F_y_Q

Una caja descansa en un punto que se encuentra a 2.0 m del eje de una plataforma circular horizontal. El coeficiente de fricción estática entre la caja y la plataforma es de 0.25. Si la tasa de rotación de la plataforma aumenta lentamente desde cero, ¿con qué rapidez empezará a resbalar la caja?

P.-S.

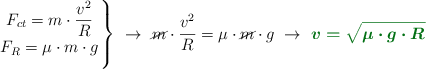
La caja describe un movimiento circular, por lo que la fuerza resultante sobre la caja es igual a la fuerza centrípeta. Empezará a resbalar cuando se igualen la fuerza centrípeta y la fuerza de rozamiento:

\left F_{ct} = m\cdot \dfrac{v^2}{R} \atop F_R = \mu\cdot m\cdot g \right \}\ \to\ \cancel{m}\cdot \dfrac{v^2}{R} = \mu\cdot \cancel{m}\cdot g\ \to\ \color[RGB]{2,112,20}{\bm{v = \sqrt{\mu\cdot g\cdot R}}}

Sustituyes en la ecuación anterior y calculas:

v = \sqrt{0.25\cdot 9.8\ \frac{m}{s^2}\cdot 2\ m}\ \to\ \fbox{\color[RGB]{192,0,0}{\bm{v = 2.2\ \frac{m}{s}}}}