Vector y módulo de la fuerza resultante sobre cuerpo que varía su velocidad (5903)

, por F_y_Q

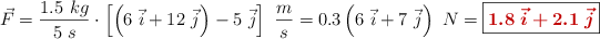
Un cuerpo de masa 1.5 kg tiene una velocidad inicial \vec v_0  = 5\ \vec j\ (\textstyle{m\over s}) . El cuerpo es acelerado constantemente durante 5 s, siendo su velocidad \vec v  = (6\ \vec i + 12\ \vec j)\ (\textstyle{m\over s}) . ¿Cuál es la fuerza neta sobre el cuerpo y su módulo durante los 5 s?

P.-S.

Si aplicas la segunda ley de la Dinámica, puedes escribir la fuerza que actúa sobre el cuerpo en función de la variación de la velocidad que sufre:

\vec F = m\cdot \vec a  = m\cdot \frac{\Delta \vec v}{t} = \frac{m}{t}\cdot (\vec v - \vec v_0)

Sustituyes en la ecuación para obtener el vector fuerza neta:

\vec F = \frac{1.5\ kg}{5\ s}\cdot \left[\left(6\ \vec i + 12\ \vec j\right) - 5\ \vec j\right]\ \frac{m}{s} = 0.3 \left(6\ \vec i + 7\ \vec j\right)\ N = \fbox{\color[RGB]{192,0,0}{\bm{1.8\ \vec i + 2.1\ \vec j}}}


El módulo de la fuerza es:

F = \sqrt{1.8^2 + 2.1^2} = \fbox{\color[RGB]{192,0,0}{\bf 2.8\ N}}