Tensión que soporta la cuerda que sostiene a una máquina de Atwood (7307)

, por F_y_Q

Supón que la polea del esquema está suspendida de la cuerda C. Determina la tensión de esta cuerda cuando se liberan las masas y antes de que el sistema quede en reposo. Desprecia el rozamiento y las masas de la polea y las cuerdas.

P.-S.

Si representas todas las fuerzas presentes en el sistema puedes entender qué ocurrirá al liberar las masas y, a partir de ahí, hacer el cálculo de la tensión en la cuerda C:


En verde he representado el sentido del movimiento del sistema, en naranja están las fuerzas debidas a las masas y en rojo la tensión que debes calcular. Como las masas no son iguales el sistema se acelera (en violeta) y esa aceleración es necesario calcularla. Aplicas la segunda ley de Newton al sistema formado por la dos masas y la polea:

p_2 - \cancel{T_2} + \cancel{T_1} - p_1 = (m_1 + m_2)\cdot a\ \to\ \color[RGB]{2,112,20}{\bm{a = \frac{p_2 - p_1}{(m_1 + m_2)}}}

Las tensiones 1 y 2 son iguales porque la cuerda no se estira ni se arruga.

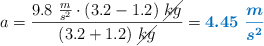
Sustituyes y calculas el valor de la aceleración:

a = \frac{9.8\ \frac{m}{s^2}\cdot (3.2 - 1.2)\ \cancel{kg}}{(3.2 + 1.2)\ \cancel{kg}} = \color[RGB]{0,112,192}{\bm{4.45\ \frac{m}{s^2}}}

Aplicas la segunda ley de Newton otra vez pero ahora sí que tienes en cuenta la cuerda que sujeta la polea:

p_1 + p_2 - T = (m_1 + m_2)\cdot a\ \to\ \color[RGB]{2,112,20}{\bf T = (m_1 + m_2)(g - a)}

Basta con sustituir y calcular:

T = 4.4\ kg\cdot 5.35\ \frac{m}{s^2} = \fbox{\color[RGB]{192,0,0}{\bf 23.5\ N}}