Tensión en el cable de un ascensor cuando sube y baja con aceleración (4212)

, por F_y_Q

Una clínica dispone de un ascensor que pesa 12 000 N. Calcula la tensión en los cables cuando:
a) Asciende con una aceleración de 2\ m \cdot s^{-2}.
b) Desciende con una aceleración igual a la anterior.

P.-S.

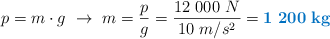
La masa del ascensor, considerando que g = 10 \frac{m}{s^2}, será:

p = m\cdot g\ \to\ m = \frac{p}{g} = \frac{12\ 000\ N}{10\ m/s^2} = \color[RGB]{0,112,192}{\bf 1\ 200\ kg}

a) Si el ascensor está subiendo con una aceleración a", debes aplicar la segunda ley de Newton considerando que la suma de las fuerzas sobre el ascensor, la tensión y el peso, es igual al producto de la masa por la aceleración a. Si consideras que el sentido ascendente es positivo, se cumple:

T - p = m\cdot a\ \to\ T = m\cdot a + p = m(a + g) = 1\ 200\ kg\cdot (2 + 10)\frac{m}{s^2} = \fbox{\color[RGB]{192,0,0}{\bf 14\ 400\ N}}


b) Ahora consideras que el sentido descendente es positivo, para que sea más simple el cálculo:

p - T = m\cdot a\ \to\ T = p -m\cdot a = m(g - a) = 1\ 200\ kg\cdot (10 - 2)\frac{m}{s^2} = \fbox{\color[RGB]{192,0,0}{\bf 9\ 600\ N}}