Tensión de las cuerdas que sujetan dos cubetas (7289)

, por F_y_Q

Una cubeta de pintura de 3 kg cuelga mediante una cuerda, cuya masa se puede ignorar, de otra cubeta de pintura de 3 kg que a su vez cuelga de una cuerda (cuya masa también puede ignorarse), como se aprecia en la figura.

a) ¿Cuál es la tensión en cada cuerda?

b) Si las dos cubetas se jalan hacia arriba con una aceleración de 1\ \textstyle{m\over s^2} mediante la cuerda superior, calcula la tensión en cada cuerda.

P.-S.

Si dibujas las fuerzas presentes en el sistema obtienes el siguiente diagrama:


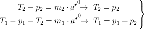
a) Suponiendo que el sistema está en reposo, la aceleración del mismo es cero y aplicas la segunda ley de la dinámica al sistema, teniendo en cuenta que los dos cuerpos están unidos:

\left T_2 - p_2 = m_2\cdot \cancelto{0}{a}\ \to\ T_2 = p_2 \atop T_1 - p_1 - T_2 = m_1\cdot \cancelto{0}{a}\ \to\ T_1 = p_1 + p_2 \right \}

Sustituyes y calculas las tensiones:

\left T_2 = 3\ kg\cdot 9.8\ \frac{m}{s^2} = \fbox{\color[RGB]{192,0,0}{\bf 29.4\ N}} \atop T_1 = (3 + 3)\ kg\cdot 9.8\ \frac{m}{s^2} = \fbox{\color[RGB]{192,0,0}{\bf 58.8\ N}} \right}}}


b) Ahora el sistema sí tiene una aceleración vertical hacia arriba. El mismo diagrama de fuerzas hecho es válido para resolver:

\left T_2 - p_2 = m_2\cdot a\ \to\ T_2 = m_2(a + g) \atop T_1 - p_1 - T_2 = m_1\cdot a\ \to\ T_1 = (m_1 + m_2)(a + g)\right \}

Vuelves a calcular las tensiones:

\left T_2 = 3\ kg\cdot (1 + 9.8)\ \frac{m}{s^2} = \fbox{\color[RGB]{192,0,0}{\bf 32.4\ N}} \atop T_1 = (3 + 3)\ kg\cdot (1 + 9.8)\ \frac{m}{s^2} = \fbox{\color[RGB]{192,0,0}{\bf 64.8\ N}} \right}}}