Tensión de la cuerda con la que se hace girar una bola en dos puntos distintos (6203)

, por F_y_Q

Una bola en el extremo de una cuerda se hace girar a una tasa uniforme en un circulo vertical de 72.0 cm de radio. Si su rapidez es de 4.00 m/s y su masa es de 0.30 kg, calcula la tensión en la cuerda cuando la bola está:

a) En la parte alta de su trayectoria.

b) En la parte inferior de su trayectoria.

P.-S.

La bola sigue un movimiento circular uniforme y eso quiere decir que la suma de las fuerzas del sistema será igual a la fuerza centrípeta del mismo, con dirección radial y cuyo sentido siempre es hacia en centro de curvatura.

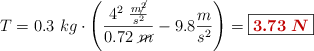
a) En el punto más alto de la trayectoria coinciden en dirección y sentido el peso de la bola, la tensión de la cuerda y la fuerza centrípeta:

F_{ct}  = p + T\ \to\ T = F_{ct} - p = m\cdot (a_n - g)

T = 0.3\ kg\cdot \left(\frac{4^2\ \frac{m\cancel{^2}}{s^2}}{0.72\ \cancel{m}} - 9.8\frac{m}{s^2}\right) = \fbox{\color[RGB]{192,0,0}{\bm{3.73\ N}}}


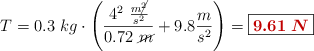
b) En el punto más bajo de la trayectoria coinciden en dirección y sentido la tensión y la fuerza centrípeta, pero no el peso. Si aplicas la segunda ley de la dinámica:

F_{ct} = T - p\ \to\ T  = F_{ct} + p = m\cdot (a_n + g)

T = 0.3\ kg\cdot \left(\frac{4^2\ \frac{m\cancel{^2}}{s^2}}{0.72\ \cancel{m}} + 9.8\frac{m}{s^2}\right) = \fbox{\color[RGB]{192,0,0}{\bm{9.61\ N}}}