Sistema de cuerpos enlazados (3845)

, por F_y_Q

Determina el peso del bloque 1 en el sistema de la imagen para que el permanezca en reposo.

P.-S.

En este ejercicio tienes que tener en cuenta las fuerzas que concurren sobre el cuerpo que está en medio. Si llamas T a las tensiones y las numeras de derecha a izquierda, según muestra la imagen:

Si clicas en la imagen podrás ver el esquema con más detalle.

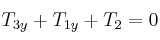
La ecuación que te queda es:

T_{3y} + T_{1y} + T_2 = 0

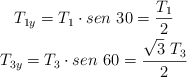
Las componentes y de las tensiones 1 y 3 son:

\left T_{1y} = T_1\cdot sen\ 30 = \dfrac{T_1}{2} \atop T_{3y} = T_3\cdot sen\ 60 = \dfrac{\sqrt 3\ T_3}{2} \right

Como sabes los valores de las tensiones 2 y 3, puedes sustituir en la ecuación:

\frac{10\sqrt 3}{2} + \frac{T_1}{2} - 20 = 0\ \to\ 10\sqrt 3 + T_1 - 40 = 0\ \to\ \fbox{\color[RGB]{192,0,0}{\bm{T_1 = 22.7\ N}}}