Relación entre velocidad del fluido y sección del grifo (4265)

, por F_y_Q

Un grifo llena un recipiente de 10 L en 8 s. Determina:

a) El valor del caudal.

b) La velocidad con la que fluye el líquido si el área de salida del grifo se reduce a la mitad.

c) La velocidad con la que fluye el líquido si el área de salida del grifo es 12\ cm^2.

P.-S.

a) El caudal con el que el agua sale del grifo será:

c = \frac{V}{t} = \frac{10\ L}{8\ s} = \color[RGB]{0,112,192}{\bm{1.25\ \frac{L}{s}}}

Hay que expresar este valor en unidades SI, por lo que el litro habrá que expresarlo como metro cúbico:

1.25\ \frac{\cancel{L}}{s}\cdot \frac{1\ m^3}{10^3\ \cancel{L}} = \fbox{\color[RGB]{192,0,0}{\bm{1.25\cdot 10^{-3}\ \frac{m^3}{s}}}}


c) Para calcular la velocidad con la que sale el líquido del grifo debes tener en cuenta que el caudal es igual al producto del área del grifo por la velocidad con la que sale el fluido:

c = A\cdot v\ \to\ v = \frac{c}{A} = \frac{1.25\cdot 10^{-3}\ m\cancel{^3}/s}{12\cdot 10^{-4}\ \cancel{m^2}} = \fbox{\color[RGB]{192,0,0}{\bm{1.04\ \frac{m}{s}}}}


Cuidado con el área del grifo porque tiene que estar expresado en metros cuadrados.

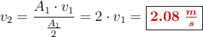
b) El caudal del grifo ha de ser el mismo, eso quiere decir que si disminuye el área tendrá que aumentar la velocidad:

A_1\cdot v_1 = A_2\cdot v_2\ \to\ \color[RGB]{2,112,20}{\bm{v_2 = \frac{A_1\cdot v_1}{A_2}}}

Solo tienes que sustituir el segundo área:

v_2 = \frac{A_1\cdot v_1}{\frac{A_1}{2}} = 2\cdot v_1 = \fbox{\color[RGB]{192,0,0}{\bm{2.08\ \frac{m}{s}}}}