Relación entre las masas de dos objetos a los que se aplica la misma fuerza (1107)

, por F_y_Q

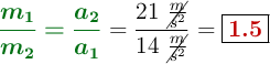
Se aplica una fuerza F sobre un objeto de masa m_{1}, imprimiéndole una aceleración de 14\ m\cdot s^{-2}. Esa misma fuerza se aplica sobre un objeto de masa m_{2} y le produce una aceleración de 21\ m\cdot s^{-2}. ¿Qué relación existe entre ambas masas?

P.-S.

Como la fuerza es igual, puedes escribir las ecuaciones de la segunda ley de la dinámica para ambas y luego dividir una entre otra:

\left F = m_1\cdot a_1 \atop F = m_2\cdot a_2 \right \}\ \to\ {\color[RGB]{2,112,20}{\bm{1 = \frac{m_1\cdot a_1}{m_2\cdot a_2}}}}

A partir de esta ecuación, puedes deducir la relación entre las masas y las aceleraciones:

{\color[RGB]{2,112,20}{\bm{\frac{m_1}{m_2} = \frac{a_2}{a_1}}}} = \frac{21\ \cancel{\frac{m}{s^2}}}{14\ \cancel{\frac{m}{s^2}}} = \fbox{\color[RGB]{192,0,0}{\bf 1.5}}